Синтез и свойства пуш-пульных 1н-бензо[f]хроменов
- Authors: 1
-
Affiliations:
- Самарский государственный технический университет
- Issue: Vol 1 (2024)
- Pages: 240-241
- Section: ЧАСТЬ I. Химия
- URL: https://j-morphology.com/osnk-sr2024/article/view/632854
- ID: 632854
Cite item
Full Text
Abstract
Обоснование. Большой интерес представляют исследования, направленные на разработку новых путей синтеза гетероциклических соединений, содержащих фармакофорные фрагменты в своей структуре, а также на их функционализацию. 4Н-хромены и их бензконденсированные производные являются привелигерованными структурными мотивами, поскольку обладают широким спектром биологической активности и их фрагмент входит в структуру большого числа природных соединений растительного происхождения.
Цель — разработка новых способов получения высокополяризованных 1H-бензо[f]хроменов, в создании на основе электронодефицитных хроменов новых подходов к синтезу гетероциклических соединений.
Методы. Подтверждение структуры полученных соединений производилось с помощью ИК- и ЯМР-спектроскопии (ЯМР 1Н, 13С, DEPT-135), а также с помощью рентгеноструктурного анализа.
Результаты. В продолжении разработки новых способов построения хроменов был предложен новый подход к получению 3-метил-2-нитро-1Н-бензо[f]хроменов, основанный на реакции метил-2-нитровинилморфолина с основаниями Манниха. Продемонстрировано, что в реакцию способны вступать основания Манниха как из α-, так и β-нафтола, в том числе замещенные по метиленовому мостику (рис. 1).
Рис. 1. Схема синтеза нитрозамещенных хроменов
Предполагая, что полученные 4Н-хромены обладают повышенной СН-кислотностью, было предложено ввести их в реакцию с диметилацеталем ДМФА. В результате был синтезирован ряд α[2(диметиламино)винил]-β-нитрозамещенных бензохроменов с выходами 73–90 %, как незамещенных по метиленовому мостику, так и содержащих арильный заместитель (рис. 2).
Рис. 2. Схема синтеза α[2(диметиламино)винил]-β-нитрозамещенных хроменов
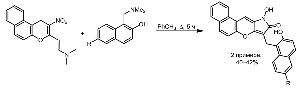
Далее нами была исследована способность α-[2-(диметиламино)винил]-β-нитробензохроменов выступать в качестве диенофилов в реакциях с о-метиленхинонами (рис. 3). Однако в реакции с основанием Манниха вместо ожидаемых продуктов реакции Дильса–Альдера — соответствующих 2’-нитро-1H,1’H-2,3’-бибензо[f]хроменов — были выделены 10-гидроксибензо[5,6]хромено[3,2-b]пиррол-9(10Н)-оны.
Рис. 3. Схема синтеза 10-гидроксибензо[5,6]хромено[3,2-b]пиррол-9(10Н)-онов
Выводы. Установлено, что взаимодействие 3-метил-2-нитро-1Н-бензо[f]хроменов с диметилацеталем ДМФА в толуоле при кипячении приводит к получению (E)-N,N-диметил-2-(2-нитро-1Н-бензо[f]хромен-3-ил)этен-1-аминов. Выяснено, что взаимодействие α-[2-(диметиламино)винил]-β-нитробензохроменов с о-метиленхинонами, генерируемыми in situ, приводит к образованию 10-гидроксибензо[5,6]хромено[3,2-b]пиррол-9(10Н)-онов.
Full Text
Обоснование. Большой интерес представляют исследования, направленные на разработку новых путей синтеза гетероциклических соединений, содержащих фармакофорные фрагменты в своей структуре, а также на их функционализацию. 4Н-хромены и их бензконденсированные производные являются привелигерованными структурными мотивами, поскольку обладают широким спектром биологической активности и их фрагмент входит в структуру большого числа природных соединений растительного происхождения.
Цель — разработка новых способов получения высокополяризованных 1H-бензо[f]хроменов, в создании на основе электронодефицитных хроменов новых подходов к синтезу гетероциклических соединений.
Методы. Подтверждение структуры полученных соединений производилось с помощью ИК- и ЯМР-спектроскопии (ЯМР 1Н, 13С, DEPT-135), а также с помощью рентгеноструктурного анализа.
Результаты. В продолжении разработки новых способов построения хроменов был предложен новый подход к получению 3-метил-2-нитро-1Н-бензо[f]хроменов, основанный на реакции метил-2-нитровинилморфолина с основаниями Манниха. Продемонстрировано, что в реакцию способны вступать основания Манниха как из α-, так и β-нафтола, в том числе замещенные по метиленовому мостику (рис. 1).
Рис. 1. Схема синтеза нитрозамещенных хроменов
Предполагая, что полученные 4Н-хромены обладают повышенной СН-кислотностью, было предложено ввести их в реакцию с диметилацеталем ДМФА. В результате был синтезирован ряд α[2(диметиламино)винил]-β-нитрозамещенных бензохроменов с выходами 73–90 %, как незамещенных по метиленовому мостику, так и содержащих арильный заместитель (рис. 2).
Рис. 2. Схема синтеза α[2(диметиламино)винил]-β-нитрозамещенных хроменов
Далее нами была исследована способность α-[2-(диметиламино)винил]-β-нитробензохроменов выступать в качестве диенофилов в реакциях с о-метиленхинонами (рис. 3). Однако в реакции с основанием Манниха вместо ожидаемых продуктов реакции Дильса–Альдера — соответствующих 2’-нитро-1H,1’H-2,3’-бибензо[f]хроменов — были выделены 10-гидроксибензо[5, 6]хромено[3,2-b]пиррол-9(10Н)-оны.
Рис. 3. Схема синтеза 10-гидроксибензо[5, 6]хромено[3,2-b]пиррол-9(10Н)-онов
Выводы. Установлено, что взаимодействие 3-метил-2-нитро-1Н-бензо[f]хроменов с диметилацеталем ДМФА в толуоле при кипячении приводит к получению (E)-N,N-диметил-2-(2-нитро-1Н-бензо[f]хромен-3-ил)этен-1-аминов. Выяснено, что взаимодействие α-[2-(диметиламино)винил]-β-нитробензохроменов с о-метиленхинонами, генерируемыми in situ, приводит к образованию 10-гидроксибензо[5, 6]хромено[3,2-b]пиррол-9(10Н)-онов.
About the authors
Самарский государственный технический университет
Author for correspondence.
Email: yushkova_as@mail.ru
студентка, группа 5-ХТ-5, лаборант НИС кафедры «Органическая химия», химико-технологический факультет
Russian Federation, СамараSupplementary files
