Age-related changes in neurons containing neuronal nitric oxide synthase in the colon of rats
- Authors: Masliukov P.M.1,2, Aryaeva D.A.1, Budnik A.F.3
-
Affiliations:
- Yaroslavl State Medical University
- Petrozavodsk State University
- Kabardino-Balkarian State University named after H.M. Berbekov
- Issue: Vol 159, No 4 (2021)
- Pages: 145-152
- Section: Original Study Articles
- Submitted: 07.09.2022
- Accepted: 07.09.2022
- Published: 15.12.2021
- URL: https://j-morphology.com/1026-3543/article/view/110832
- DOI: https://doi.org/10.17816/morph.110832
- ID: 110832
Cite item
Full Text
Abstract
BACKGROUND: The density of both terminals in the circular muscle of the intestine increases sharply in the first 10 days of life. However, the age-related aspects of neuronal NO synthase (nNOS) expression in metasympathetic intramural enteric ganglia remain unclear.
AIM: To identify the localization, percentage, and morphometric characteristics of nNOS-immunoreactive (IR) neurons in the intramural ganglia of the myenteric plexus (MP) and submucous plexus (SP) of the large intestine of rats of different age groups.
MATERIAL AND METHODS: The study examined Wistar rats aged 1, 10, 20, 30, and 60 days and 2 years using immunohistochemical methods.
RESULTS: nNOS-IR neurons were found in the large intestine at birth and during the remaining periods. In the intramural ganglia of the MP, the largest percentage of nNOS-IR neurons was detected in newborn rats and decreased in ontogenesis up to 60 days of life and did not change until senescence. In the SP, nNOS-IR neurons were abundant in newborns, the percentage decreased significantly by day 20, and they were not detected in days 30 and 60, but again appeared in large numbers in older rats. The average cross-sectional area of nNOS-IR neurons increased in the MP from birth during the first 2 months of life. In the SP, the average size of nNOS-IR cells increased in the first 30 days of life and became significantly larger in old rats than in rats of other ages.
CONCLUSIONS: The expression of nNOS in intramural nodes’ neurons in the large intestine decreased in early postnatal ontogenesis and subsequently increased in aged rats.
Keywords
Full Text
ОБОСНОВАНИЕ
В зрелой энтеральной метасимпатической нервной системе холинергические (экспрессирующие фермент синтеза ацетилхолина холинацетилтрансферазу — ХАТ) и NO-ергические (экспрессирующие нейрональную синтазу оксида азота — nNOS) нейроны обычно характеризуются как отдельные популяции нейронов [1–3]. У взрослой мыши в межмышечном сплетении (МС) толстой кишки лишь 4% нейронов солокализуют nNOS и ХАТ [4]. Холинергические нейроны являются возбуждающими и функционируют как двигательные, интернейроны и сенсорные нейроны, тогда как NO-ергические нейроны могут быть тормозящими двигательными нейронами или интернейронами. У млекопитающих орально проецирующиеся нейроны в основном являются холинергическими, анально — NOS-эргическими [5–7].
Ранее было показано, что в метасимпатических интрамуральных узлах кишки мыши и человека NOS-иммунореактивные (ИР) нейроны в эмбриогенезе созревают раньше, чем холинергические [8, 9]. У мышей NOS-содержащие нервные волокна присутствуют в круговом слое мышечной оболочки за 2 дня до рождения, но холинергические нервные терминали относительно редки в толстой кишке при рождении. Плотность как NOS-, так и ХАТ-терминалей в круговом мышечном слое кишечника резко возрастает в первые 10 сут жизни [10]. Тем не менее возрастные аспекты экспрессии nNOS в метасимпатических интрамуральных узлах толстой кишки остаются неясными.
Целью настоящей работы явилось определение локализации и изучение морфометрических характеристик nNOS-позитивных нейронов в узлах поперечной ободочной кишки крыс разного возраста от момента рождения до старости при помощи иммуногистохимических методов.
МАТЕРИАЛЫ И МЕТОДЫ
Работа выполнена на новорождённых, 10-, 20-, 30-, 60-суточных, двухлетних крысах (по 5 в каждой возрастной группе). Исследование проводилось с соблюдением «Правил проведения работ с использованием экспериментальных животных» (приказ № 775 от 12.08.1977 г. МЗ СССР). На проведение исследования получено разрешение этического комитета Ярославского государственного медицинского университета (№ 29 от 21.02.2019 г.).
После введения летальной дозы уретана (3 г/кг внутрибрюшинно) животных перфузировали транскардиально раствором стандартного фоcфатно-cолевого буфеpа (PBS; 0,01 М, pH 7,4) (БиолоТ, Россия), затем 4% раствором паpафоpмальдегида (Sigma, США) на PBS. После перфузии участок поперечной ободочной кишки длиной 0,5 см извлекали и помещали в ту же фиксирующую смесь, в которой производили перфузию, на 1–2 ч. Серии срезов толщиной 12 мкм изготавливали на криостате-микротоме Shandon Finesse (ThermoScientific, Великобритания).
Для выявления нейронов, содержащих nNOS, проводилась двойная иммунофлуоресцентная реакция. С этой целью использовались первичные антитела кролика (Abcam, кат. № ab15323, США, разведение 1 : 300). Для расчёта процента иммунопозитивных нейронов, кроме метки к nNOS, производилось иммуномечение всей нейронной популяции при помощи антител от морской свинки к протеиновому генному продукту 9,5 (PGP9.5, Abcam, кат. № ab10410, США, разведение 1 : 200). Срезы инкубировались с первичными антителами в течение 24 ч при комнатной температуре. После кратковременной промывки далее срезы инкубировались со вторичными антителами в течение 2 ч. Применялись вторичные антитела фирмы Jackson ImmunoResearch, специально разработанные для флуоресцентного двойного мечения, имеющие индекс ML (Mulitplie Labeling), у которых в спецификациях производителя указывалось, что данные антитела обладают минимальной кросс-реактивностью к другим видам животных, в том числе к морской свинке и кролику соответственно. В данном исследовании нами использовались вторичные антитела осла против кролика, конъюгированные с флуорохромом — индокарбоцианином (Cy3, № 711-165-152, Jackson, США, разведение 1 : 100), дающим красную флуоресценцию, и осла против морской свинки (кат. № 706-095-148), конъюгированные с флуорохромом флуоресцеин-изотиоцианатом (FITC, № 706-095-148, Jackson ImmunoResearch, США, разведение 1 : 100), дающим зелёную флуоресценцию. Далее срезы отмывали в PBS и заключали в среду для иммунофлуоресценции (VectaShield, Vector Laboratories, США).
Анализ препаратов проводили на флуоресцентном микроскопе Olympus BX43 (Япония) с соответствующим набором светофильтров и охлаждаемой цифровой CCD-камерой Tucsen TCC 6.1ICE c программным обеспечением ISCapture 3.6 (Китай). Для анализа размеров и процентного соотношения иммунопозитивных нейронов на цифровых изображениях гистологических препаратов использовали программу ImageJ (NIH, США). Долю иммунопозитивных нейронов определяли как их отношение к общему числу нейронов, которое принимали за 100%. Анализу подлежали нервные клетки, срез которых прошёл через ядро с ядрышком. Для определения площади сечения нейронов в случайном порядке брали 100 нейронов, иммунопозитивных к каждому из исследованных маркеров в каждой возрастной группе.
Математическая обработка данных проведена с использованием пакета прикладных программ Sigma Plot (StatSoft, США). Все величины представлены как средняя арифметическая ± ошибка средней (М±m). Значимость различий средних величин определяли по методикам ANOVA, критериям Уилкоксона и Манна–Уитни. Значимыми считали различия при уровне значимости р <0,05.
РЕЗУЛЬТАТЫ
Результаты исследования свидетельствуют, что nNOS-ИР нейроны обнаруживались в толстой кишке в интрамуральных узлах МС (рис. 1) и подслизистого сплетения (ПС) у новорождённых и более взрослых крыс, включая старых.
Рис. 1. Микрофотографии нейронов, содержащих нейрональную синтазу оксида азота, в интрамуральных узлах межмышечного сплетения толстой кишки крыс: а — новорождённых; b — 10-суточных; c — 20-суточных; d — двухлетних. Нейроны, иммунореактивные к нейрональной синтазе оксида азота, указаны стрелками. Флуоресценция Сy3. Об. — 20, ок. — 10, масштаб — 50 мкм. / Fig. 1. Micrographs of neurons containing neuronal nitric oxide synthase in the intramural ganglia of the intermuscular plexus of the large intestine of rats: а, newborns; b, rats aged 10 days; c, rats aged 20 days; d, 2-year-old rats. Neurons immunoreactive to neuronal nitric oxide synthase are indicated by arrows. Cy3 fluorescence. Lens, 20; eye glass, 10; scale, 50 µm.
В интрамуральных узлах МС у новорождённой крысы процент nNOS-ИР нейронов был наибольшим, уменьшался (в 3,1 раза) к 60-м суткам (p <0,001) и сохранялся у старых крыс неизменным (таблица). В узлах ПС nNOS-ИР нейроны также в наибольшем количестве выявлялись у новорождённых, в последующие 20 сут процент уменьшался более чем в 10 раз. У 30-суточных и двухмесячных животных nNOS-ИР нейроны не выявлялись, но опять появлялись у старых крыс в большом количестве.
Таблица. Доля нейронов, иммунореактивных к нейрональной синтазе оксида азота, в интрамуральных узлах толстой кишки крыс разного возраста (n=5 в каждой возрастной группе) / Table. Proportion of neurons immunoreactive to neuronal nitric oxide synthase in the intramural ganglia of the large intestine of rats of different ages (n=5 per age group)
Возраст / Age | Межмышечное сплетение / Intermuscular plexus | Подслизистое сплетение / Submucous plexus | |
Новорождённый | Newborn | 81±0,8* | 85±3,2* |
10 суток | 10 days | 49±1,8** | 44±3,7** |
20 суток | 20 days | 30±2,7*,** | 8±2,3*,** |
30 суток | 30 days | 34±1,2*,** | – |
2 месяца | 2 months | 26±2,3*,** | – |
2 года | 2 years | 27±1,4*,** | 44±5,6** |
Примечание. * p <0,05, различия статистически значимы по сравнению с 10-суточными. ** p <0,001, различия статистически значимы по сравнению с новорождёнными.
Notes. * p <0.05, differences are significant compared with rats aged 10 days. **p <0.001, significant differences compared with newborns.
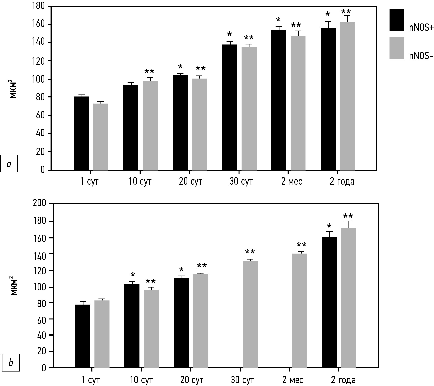
Средняя площадь сечения nNOS-ИР нейронов увеличивалась в МС толстой кишки в онтогенезе с момента рождения в течение первых двух месяцев жизни (рис. 2). В ПС средний размер nNOS-ИР клеток возрастал на протяжении 30 сут (р <0,05) и был больше у старых крыс, по сравнению с другими возрастами (p <0,001). В МС и ПС средние площади сечения nNOS (+) и nNOS (–) нейронов не отличались друг от друга (р >0,05).
Рис. 2. Средние площади сечения нейронов, иммунореактивных (+) и негативных (–) к нейрональной синтазе оксида азота, в интрамуральных узлах межмышечного (а) и подслизистого (b) сплетения толстой кишки в онтогенезе. * p <0,05, различия статистически значимы по сравнению с иммунореактивными к нейрональной синтазе оксида азота нейронами новорождённого. ** p <0,05, различия статистически значимы по сравнению с негативными к нейрональной синтазе оксида азота нейронами новорождённого. / Fig. 2. Average cross-sectional areas of neurons immunoreactive (+) and negative (–) to neuronal nitric oxide synthase in the intramural ganglia of the intermuscular (a) and submucous (b) plexus of the large intestine during ontogenesis. *p <0.05, differences are significant in comparison with neurons immunoreactive to neuronal nitric oxide synthase in a newborn. **p <0.05, differences are significant in comparison with neurons negative to neuronal nitric oxide synthase in a newborn.
ОБСУЖДЕНИЕ
В интрамуральных узлах МС толстой кишки наибольший процент nNOS-ИР нейронов выявляется у новорождённой крысы и в онтогенезе уменьшается к 60-м суткам жизни, далее не изменяясь вплоть до старости. В узлах ПС nNOS-ИР нейроны также в наибольшем количестве выявляются у новорождённых, в последующие 20 сут процент значительно уменьшается, nNOS-ИР нейроны не выявляются у 30-суточных и двухмесячных животных, но опять появляются у старых крыс в большом количестве. Экспрессия nNOS также снижается в онтогенезе в первые 20 сут жизни и возрастает у старых крыс.
По литературным данным, у мыши nNOS выявлялась в 29% энтеральных нейронов в тонкой кишке [4]. У мыши некоторые нейроны МС и ПС, которые не содержат nNOS в зрелой кишке, временно экспрессируют nNOS во время эмбрионального и раннего постнатального развития [11, 12]. Сходным образом лишь 1% нейронов ПС тонкой кишки взрослой мыши содержит nNOS, однако в позднем эмбриональном и раннем постнатальном периоде 50% нейронов в ПС содержат nNOS [12].
Средняя площадь сечения nNOS-ИР нейронов толстой кишки увеличивается в ПС на протяжении первых 30 сут в онтогенезе, а в МС — с момента рождения в течение первых двух месяцев жизни. В ПС и МС средние площади сечения nNOS (+) и nNOS (–) нейронов значимо не отличаются друг от друга. Литературные данные свидетельствуют о том, что в раннем постнатальном онтогенезе происходит увеличение размеров нейронов узлов автономной нервной системы, в том числе симпатических и метасимпатических [13, 14].
В эмбрионе мыши ингибирование передачи сигналов NO не влияет на миграцию энтеральных нейронов, но уменьшает их образование после завершения миграции [15]. На сегодняшний день нет доказательств роли NO в развитии энтеральной нервной метасимпатической системы у позвоночных, поскольку ингибирование синтеза NO не влияет на миграцию или дифференциацию нейронов в культуре эмбрионального мышиного кишечника [16]. Тем не менее возможно, что спонтанное высвобождение NO влияет на такие процессы развития энтеральной нервной метасимпатической системы, как рост аксонов и синаптогенез [17]. Есть предположения, что запоры в раннем детском возрасте связаны с гиперактивацией NO-ергической энтеральной системы, так как nNOS-содержащие нейроны отвечают за ингибирование гладкой мускулатуры кишечника [18–20].
ЗАКЛЮЧЕНИЕ
В постнатальном онтогенезе по мере взросления молодых крыс происходит уменьшение относительного содержания nNOS нейронов в интрамуральных узлах толстой кишки с последующим его нарастанием у старых животных. Вероятно, указанные изменения связаны с влиянием NO на процессы нейропластичности.
ДОПОЛНИТЕЛЬНАЯ ИНФОРМАЦИЯ / ADDITIONAL INFO
Источник финансирования. Авторы заявляют об отсутствии внешнего финансирования при проведении исследования.
Конфликт интересов. Авторы декларируют отсутствие явных и потенциальных конфликтов интересов, связанных с публикацией настоящей статьи.
Вклад авторов. Все авторы подтверждают соответствие своего авторства международным критериям ICMJE (все авторы внесли существенный вклад в разработку концепции, проведение исследования и подготовку статьи, прочли и одобрили финальную версию перед публикацией). Наибольший вклад распределён следующим образом: концепция и дизайн исследования — П.М. Маслюков; сбор и обработка материала — А.Ф. Будник, Д.А. Аряева; статистическая обработка данных — А.Ф. Будник; анализ и интерпретация данных — А.Ф. Будник, П.М. Маслюков; написание текста — П.М. Маслюков.
Funding source. This study was not supported by any external sources of funding.
Competing interests. The authors declare that they have no competing interests.
Author contribution. All authors confirm the compliance of their authorship, according to international ICMJE criteria (all authors made a substantial contribution to the conception of the work, acquisition, analysis, interpretation of data for the work, drafting and revising the work, final approval of the version to be published). The concept and design of the study — P.M. Masliukov; collection and processing of material — A.F. Budnik, D.A. Aryaeva; statistical data processing — A.F. Budnik; data analysis and interpretation — A.F. Budnik, P.M. Masliukov; writing the text — P.M. Masliukov.
About the authors
Petr M. Masliukov
Yaroslavl State Medical University; Petrozavodsk State University
Author for correspondence.
Email: mpm@ysmu.ru
ORCID iD: 0000-0002-6230-5024
SPIN-code: 7676-0849
Scopus Author ID: 6602102222
MD, Dr. Sci. (Med.), Professor
Russian Federation, 5, Revolutsionnaya St., Yaroslavl, 150000; PetrozavodskDaria A. Aryaeva
Yaroslavl State Medical University
Email: mpm@ysmu.ru
ORCID iD: 0000-0001-6164-6743
Russian Federation, 5, Revolutsionnaya St., Yaroslavl, 150000
Antonina F. Budnik
Kabardino-Balkarian State University named after H.M. Berbekov
Email: budnik74@mail.ru
ORCID iD: 0000-0002-3333-5865
SPIN-code: 3691-4817
MD, Cand. Sci. (Med.), Associate Professor
Russian Federation, NalchikReferences
- Foong JP. Postnatal Development of the Mouse Enteric Nervous System. Adv Exp Med Biol. 2016;891:135–143. doi: 10.1007/978-3-319-27592-5_13
- Foong JP, Tough IR, Cox HM, Bornstein JC. Properties of cholinergic and non-cholinergic submucosal neurons along the mouse colon. J Physiol. 2014;592(4):777–793. doi: 10.1113/jphysiol.2013.265686
- Sang Q, Young HM. Chemical coding of neurons in the myenteric plexus and external muscle of the small and large intestine of the mouse. Cell Tissue Res. 1996;284(1):39–53. doi: 10.1007/s004410050565
- Qu ZD, Thacker M, Castelucci P, et al. Immunohistochemical analysis of neuron types in the mouse small intestine. Cell Tissue Res. 2008;334(2):147–161. doi: 10.1007/s00441-008-0684-7
- Furness JB. The enteric nervous system. Oxford: Blackwell Publishing; 2006. 288 p.
- Furness JB, Stebbing MJ. The first brain: Species comparisons and evolutionary implications for the enteric and central nervous systems. Neurogastroenterol Motil. 2018;30(2). doi: 10.1111/nmo.13234
- Timmermans JP, Adriaensen D, Cornelissen W, Scheuermann DW. Structural organization and neuropeptide distribution in the mammalian enteric nervous system, with special attention to those components involved in mucosal reflexes. Comp Biochem Physiol A Physiol. 1997;118(2):331–340. doi: 10.1016/s0300-9629(96)00314-3
- Hao MM, Bornstein JC, Young HM. Development of myenteric cholinergic neurons in ChAT-Cre;R26R-YFP mice. J Comp Neurol. 2013;521(14):3358–3370. doi: 10.1002/cne.23354
- Vannucchi MG, Faussone-Pellegrini MS. Differentiation of cholinergic cells in the rat gut during pre- and postnatal life. Neurosci Lett. 1996;206(2-3):105–108. doi: 10.1016/s0304-3940(96)12440-x
- Hao MM, Fung C, Boesmans W, et al. Development of the intrinsic innervation of the small bowel mucosa and villi. Am J Physiol Gastrointest Liver Physiol. 2020;318(1):G53–G65. doi: 10.1152/ajpgi.00264.2019
- Bergner AJ, Stamp LA, Gonsalvez DG, et al. Birthdating of myenteric neuron subtypes in the small intestine of the mouse. J Comp Neurol. 2014;522(3):514–527. doi: 10.1002/cne.23423
- Young HM, Ciampoli D. Transient expression of neuronal nitric oxide synthase by neurons of the submucous plexus of the mouse small intestine. Cell Tissue Res. 1998;291(3):395–401. doi: 10.1007/s004410051009
- Masliukov PM, Budnik AF, Nozdrachev AD. Developmental changes of neurotransmitter properties in sympathetic neurons. Advances in Gerontology. 2017;30(3):347–355. (In Russ).
- Masliukov PM, Emanuilov AI, Nozdrachev AD. Developmental changes of neurotransmitter properties in sympathetic neurons. Advances in Gerontology. 2016;29(3):442–453. (In Russ).
- Wright JW, Schwinof KM, Snyder MA, Copenhaver PF. A delayed role for nitric oxide-sensitive guanylate cyclases in a migratory population of embryonic neurons. Dev Biol. 1998;204(1):15–33. doi: 10.1006/dbio.1998.9066
- Li Z, Hao MM, Van den Haute C, et al. Regional complexity in enteric neuron wiring reflects diversity of motility patterns in the mouse large intestine. Elife. 2019;8:e42914. doi: 10.7554/eLife.42914
- Hao MM, Moore RE, Roberts RR, et al. The role of neural activity in the migration and differentiation of enteric neuron precursors. Neurogastroenterol Motil. 2010;22(5):e127–137. doi: 10.1111/j.1365-2982.2009.01462.x
- Brooks LA, Fowler KL, Veras LV, et al. Resection margin histology may predict intermediate-term outcomes in children with rectosigmoid Hirschsprung disease. Pediatr Surg Int. 2020;36(8):875–882. doi: 10.1007/s00383-020-04689-x
- Patel BA, Dai X, Burda JE, et al. Inhibitory neuromuscular transmission to ileal longitudinal muscle predominates in neonatal guinea pigs. Neurogastroenterol Motil. 2010;22(8):909–918.
- Tomita R, Tanjoh K, Fujisaki S, et al. Regulation of the enteric nervous system in the colon of patients with slow transit constipation. Hepatogastroenterology. 2002;49(48):1540–1544.
Supplementary files





