Morphometric characteristics of intramural autonomic nerve ganglia of the myenteric and submucosal plexuses of the small and large intestines in rats during postnatal ontogenesis
- Authors: Masliukov P.M.1, Budnik A.F.2
-
Affiliations:
- Yaroslavl State Medical University
- Kabardino-Balkarian State University
- Issue: Vol 163, No 4 (2025)
- Pages: 305-315
- Section: Original Study Articles
- Submitted: 06.04.2025
- Accepted: 08.05.2025
- Published: 23.10.2025
- URL: https://j-morphology.com/1026-3543/article/view/677905
- DOI: https://doi.org/10.17816/morph.677905
- EDN: https://elibrary.ru/GICHGI
- ID: 677905
Cite item
Abstract
BACKGROUND: The morphology of intramural autonomic nerve ganglia of the myenteric (MP) and submucosal (SP) plexuses of the intestine in adult animals has been studied in sufficient detail, whereas data on age-related features of these structures remain limited.
AIM: This study aimed to investigate the morphometric characteristics of intramural autonomic nerve ganglia of the myenteric and submucosal plexuses of the small and large intestines in rats during postnatal ontogenesis.
METHODS: The study used male Wistar rats of different age groups: newborns; 10, 20, 30, and 60 days after birth; and 12 and 24 months of age. Immunohistochemical analysis was performed using fluorescently labeled antibodies to protein gene product 9.5 (PGP9.5).
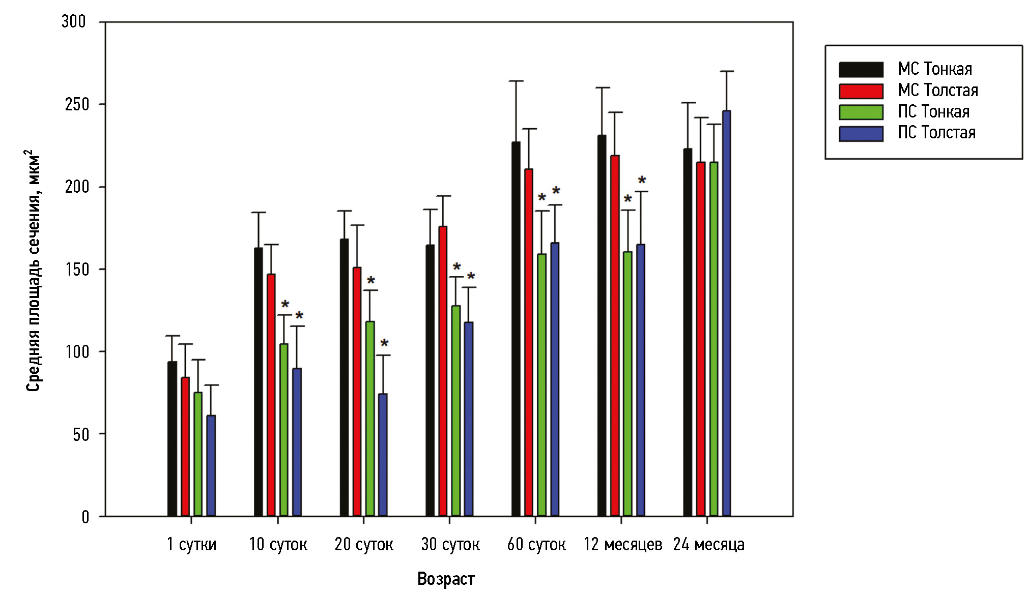
RESULTS: During postnatal ontogenesis, the number of ganglia per 1 mm2 decreases, whereas the ganglion area increases in both the small and large intestines. The mean area of nerve ganglia in the MP of the small and large intestines increases from birth up to day 60, whereas in the SP, this increase occurs during the first 30 days of life. The mean density of ganglia per 1 mm2 in the MP decreases during the first 60 days in the small intestine and during 12 months in the large intestine. In the SP, this parameter decreased in both the small and large intestines during the first 60 days of life. The mean number of PGP9.5-immunoreactive neurons per ganglion in the MP remains unchanged during postnatal ontogenesis, whereas in the SP, it increases during the first 10 days after birth.
CONCLUSION: In postnatal ontogenesis, during the first 30 days of life, the size of ganglia in the MP and SP increases, whereas their density per unit surface of the small and large intestines decreases. The shape of ganglia and the number of neurons in the MP ganglia do not change during postnatal ontogenesis. In contrast to the MP of the small and large intestines in rats, the SP ganglia remain immature at birth, with the formation of the SP ganglion network during the first 10 days after birth.
Full Text
About the authors
Petr M. Masliukov
Yaroslavl State Medical University
Author for correspondence.
Email: mpm@ysmu.ru
ORCID iD: 0000-0002-6230-5024
SPIN-code: 7676-0849
Dr. Sci. (Medicine), Professor
Russian Federation, YaroslavlAntonina F. Budnik
Kabardino-Balkarian State University
Email: budnik74@mail.ru
ORCID iD: 0000-0002-3333-5865
SPIN-code: 3691-4817
Cand. Sci. (Medicine), Assistant Professor
Russian Federation, NalchikReferences
- Nozdrachev AD. A brief history of Russian research on the autonomic nervous system. Anat Rec (Hoboken). 2023;306(9):2230–2248. doi: 10.1002/ar.24944 EDN: JOOKZP
- Furness JB. Comparative and evolutionary aspects of the digestive system and its enteric nervous system control. Adv Exp Med Biol. 2022;1383:165–177. doi: 10.1007/978-3-031-05843-1_16
- Fung C, Vanden Berghe P. Functional circuits and signal processing in the enteric nervous system. Cell Mol Life Sci. 2020;77(22):4505–4522. doi: 10.1007/s00018-020-03543-6 EDN: FJKRTL
- Furness JB, Stebbing MJ. The first brain: Species comparisons and evolutionary implications for the enteric and central nervous systems. Neurogastroenterol Motil. 2018;30(2). doi: 10.1111/nmo.13234 EDN: YDLCEX
- Eisenberg JD, Bradley RP, Graham KD, et al. Three-dimensional imaging of the enteric nervous system in human pediatric colon reveals new features of Hirschsprung’s disease. Gastroenterology. 2024;167(3):547–559. doi: 10.1053/j.gastro.2024.02.045 EDN: MGRGXW
- Fujiwara N, Miyahara K, Lee D, et al. A novel mouse model of intestinal neuronal dysplasia: Visualization of the enteric nervous system. Pediatr Surg Int. 2023;39(1):298. doi: 10.1007/s00383-023-05585-w EDN: KTKTQC
- Tikhonov EA, Makarova OV, Golichenkov VA. Age-dependent changes of myenteric nervous plexus histoarchitectonics in proximal and distal colon of Wistar rats. Journal of Anatomy and Histopathology. 2017;6(3):75–81. doi: 10.18499/2225-7357-2017-6-3-75-81 EDN: ZPDAQZ
- Chumasov EI, Maistrenko NA, Romashchenko PN, et al. Immunohistochemical study of the sympathetic innervation of the colon in chronic slow-transit constipation. Experimental and Clinical Gastroenterology. 2022;11(207):191–197. doi: 10.31146/1682-8658-ecg-207-11-191-197 EDN: PXTDXG
- Chumasov EI, Petrova ES, Korzhevskii DE. Study of the rat duodenal innervation using neural immunohistochemical markers. I.M. Sechenov Russian Journal of Physiology. 2020;106(7):853–865. doi: 10.31857/S086981392007002X EDN: XGGZHF
- Masliukov PM. Sympathetic neurons of the cat stellate ganglion in postnatal ontogenesis: morphometric analysis. Auton Neurosci. 2001;89(1-2):48–53. doi: 10.1016/S1566-0702(01)00246-6 EDN: LGSPQN
- Nagy N, Goldstein AM. Enteric nervous system development: A crest cell’s journey from neural tube to colon. Semin Cell Dev Biol. 2017;66:94–106. doi: 10.1016/j.semcdb.2017.01.006
- Masliukov PM, Budnik AF, Nozdrachev AD. Neurochemical features of metasympathetic system ganglia in the course of ontogenesis. Advances in Gerontology. 2017;30(3):347–355. (In Russ.)
- Rao M, Gershon MD. Enteric nervous system development: what could possibly go wrong? Nat Rev Neurosci. 2018;19(9):552–565. doi: 10.1038/s41583-018-0041-0
- Wallace AS, Burns AJ. Development of the enteric nervous system, smooth muscle and interstitial cells of Cajal in the human gastrointestinal tract. Cell Tissue Res. 2005;319(3):367–382. doi: 10.1007/s00441-004-1023-2 EDN: QSBYRU
- Budnik AF, Aryaeva D, Vyshnyakova P, Masliukov PM. Age related changes of neuropeptide Y-ergic system in the rat duodenum. Neuropeptides. 2020;80:101982. doi: 10.1016/j.npep.2019.101982 EDN: HLIGYM
- Festing MF, Overend P, Gaines Das R, et al. The design of animal experiments: reducing the use of animals in research through better experimental design (Laboratory Animal Handbooks). London: Royal Society of Medicine Press Limited; 2002.
- Avtandilov GG. Medical morphometry. A Practical Guide. Moscow: Meditsina; 1990. (In Russ.)
- Schäfer KH, Hänsgen A, Mestres P. Morphological changes of the myenteric plexus during early postnatal development of the rat. Anat Rec. 1999;256(1):20–28. doi: 10.1002/(SICI)1097-0185(19990901)256:1<20::AID-AR4>3.0.CO;2-8
- Saffrey MJ. Cellular changes in the enteric nervous system during ageing. Dev Biol. 2013;382(1):344–355. doi: 10.1016/j.ydbio.2013.03.015
- Peck CJ, Samsuria SD, Harrington AM, et al. Fall in density, but not number of myenteric neurons and circular muscle nerve fibres in guinea-pig colon with ageing. Neurogastroenterol Motil. 2009;21(10):1075-e90. doi: 10.1111/j.1365-2982.2009.01349.x
- Phillips RJ, Kieffer EJ, Powley TL. Aging of the myenteric plexus: neuronal loss is specific to cholinergic neurons. Auton Neurosci. 2003;106(2):69–83. doi: 10.1016/S1566-0702(03)00072-9
- Budnik AF, Masliukov PM. Postnatal development of the enteric neurons expressing neuronal nitric oxide synthase. Anat Rec (Hoboken). 2023;306(9):2276–2291. doi: 10.1002/ar.24947 EDN: FDQLJQ
Supplementary files








